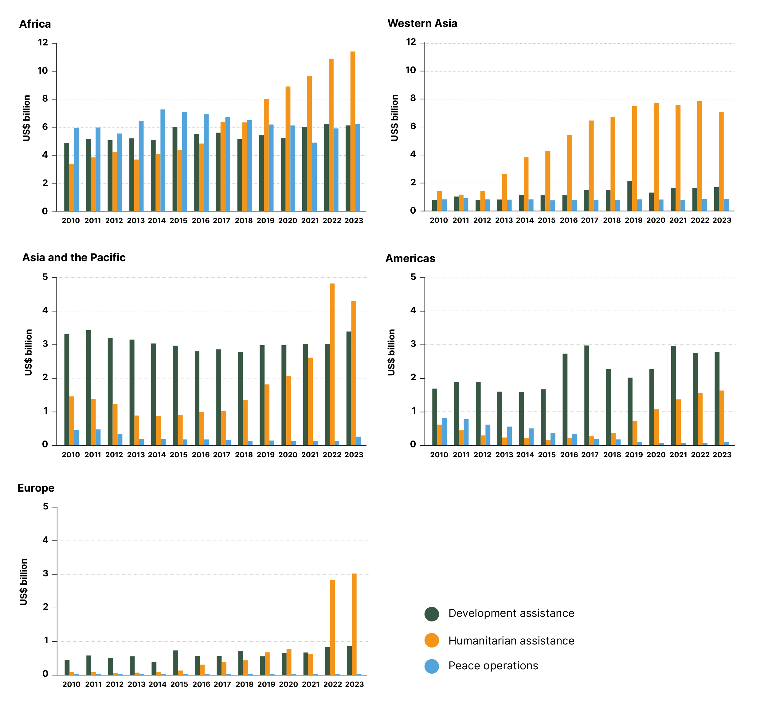
Figure 31
Development, humanitarian and peace by region, 2010-2023 (US$ billion)

Source:
Source: Chief Executives Board for Coordination (CEB) and Report of the Secretary-General (A/80/74-E/2025/53).
- < previous
- all
- next >
- 116 of 202